product
- citations: 10
- citations: 10
- citations: 16

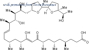
Cat.No. 1704 - Ionomycin calcium salt C41H70O9.Ca CAS No. 56092-82-1
quantity: 1 mg
price: 157 USD
to the supplier

Cat.No. 2092 - Ionomycin free acid C41H72O9 CAS No. 56092-81-0
quantity: 1 mg
price: 166 USD
to the supplier
method
other reagents
questions and comments


